lunes, 9 de junio de 2014

DIVISIÓN DE POLINOMIOS



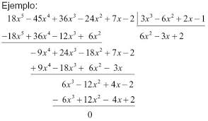
Para dividir dos polinomios se procede de la manera siguiente:



1) Se ordena el dividendo y el divisor con respecto a una misma letra.


2) Se divide el primer término del dividendo entre el primer término del divisor, obteniéndose así el primer término del cociente

3) Se multiplica el primer término del cociente por todo el divisor y el producto así obtenido se resta del dividendo, para lo cual se le cambia de signo y se escribe cada término de su semejante. En el caso de que algún término de este producto no tenga ningún término semejante en el dividendo, es escribe dicho término en el lugar que le corresponda de acuerdo con la ordenación del dividendo y del divisor.

4) Se divide el primer término del resto entre el primer término del divisor, obteniéndose de este modo el segundo término del cociente.

5) El segundo término del cociente se multiplica por todo el divisor y el producto así obtenido se resta del dividendo, cambiándole todos los signos.

6) Se divide el primer término del segundo resto entre el primer término del divisor y se repiten las operaciones anteriores hasta obtener cero como resto.







No hay comentarios.:

Publicar un comentario